Gittens and Related Family Genealogy Pages

Discovering our Ancestors


 

» Source     «Prev 1 2 3

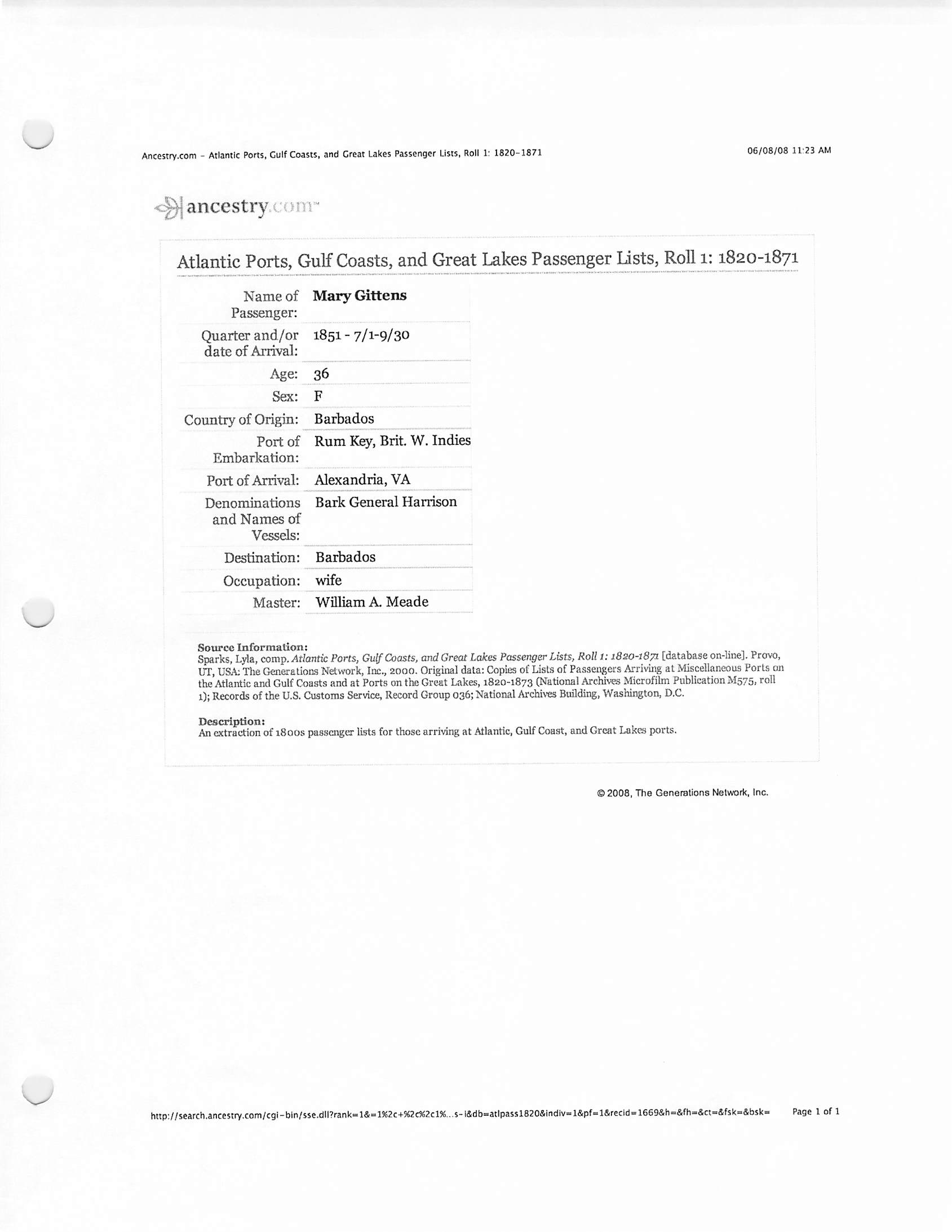
Mary Gittens 1851

Mary Gittens 1851




File nameMary Gittens 1851.jpg
File Size155.34k
Dimensions1689 x 2185
Linked toSource: S368

» Source     «Prev 1 2 3